在公司忙活了一天的你终于挤上了回家的地铁,晚高峰人很多,你耳边还回荡着老板临下班前给你派的活。
到站了,你穿过重重人群走下地铁,回到了家。你卸妆、吃饭、洗漱、和朋友交流一天的经历。

等你真的躺在床上,夜幕早已降临。睡觉吗?当然不了!打工人一直被暴击,一直被安排,快乐时光从晚上才开始。
虽然你知道,现在玩的每一分钟手机在明天早上都会变成起床时叹的气,但你还是打开b站,点开微博,安静享受一个人的静谧时光。

但奇怪的是,这一玩可能就会玩很久,甚至有时候都困得不行了,还是想要再玩一会。为什么人们会有这种迷惑行为?
你是在故意缺睡吗?
中国睡眠研究会最新发布的睡眠调查报告显示,在我国,有三亿多人存在睡眠障碍,接近三分之一的人入睡时间在凌晨一点之后[1]。
在过去一年,人们的整体入睡时间延迟了2-3小时。人们睡的越来越晚,难道是真的不困吗?其实也不一定,人们可能只是在睡眠拖延。
睡眠拖延的概念在2014年由荷兰学者Kroese等人首次提出,指的是“在没有外部原因阻碍的情况下,仍无法在预定时间上床睡觉的现象”[2]。他们随后又提出了睡眠拖延的三条判定标准,分别是推后睡觉的时间,没有正当推迟睡觉的理由和可以预见拖迟睡觉的糟糕后果。

比如说,你明明知道你明天必须早早起床出门开会,如果再不睡觉明天就会顶着一对熊猫眼见同事们,眼下也没什么重要的事情要去做,但你还是想再赖一会,就是不肯闭上眼睛睡觉。那很可能你就是在故意缺睡。
总想再玩亿分钟,你这是咋了?
基于拖延症的大量研究表明,拖延行为的对象通常是为人所厌恶的任务。但是睡眠是人们最喜欢的任务之一,应该不属于厌恶的任务。有研究发现,人们倾向于拖延睡觉时间并非因为厌恶睡觉本身,而是厌恶实行睡前的准备活动[3]。
比如,睡觉之前你需要花费相当长的一段时间卸妆、洗澡、刷牙洗脸,一部分“孤寡”独居人士洗完澡还得把地拖了。这些睡前准备活动不做肯定不行,做又相当麻烦。

另一方面,睡前的沉浸式活动,比如看电视,玩手机,令人丧失时间感,在不知不觉中就错过了计划好的睡眠时间。白天你是没得感情的工作机器,莫名其妙就奔波出一万多的步数,好不容易有点时间想摸会鱼,还得担心着老板会不会跟高中班主任一样突然在身后出现。
11点到1点的这段时间,才是打工人的放松时刻。可以暂时逃离工作的烦恼,安心的刷个微博吃个瓜,再看看漂亮姐姐。

有研究就发现自我调节资源会影响睡眠拖延行为[4]。具体而言,人们在白天压抑自己抽烟、喝咖啡、吃东西等欲望的次数越多,晚上越有可能出现睡眠拖延行为。
在白天里我们有多少被压抑的瞬间,有多少想要躺平却又不得不撑住继续工作的时刻,在夜晚我们就会有多想要将这一点小小的放纵作为对自己白天那些克制的补偿。

晚会睡觉可能已经成为了打工人最后的安慰,甚至是奖赏。如果说高质量的睡眠可以洗去我们的身体的疲惫,那么睡前的放纵便是对我们心理的温柔抚摸。
晚睡也能睡个好觉
我们可能真的需要睡觉前的这么一段美妙又痛苦的时间,在繁忙的生活中喘口气,满足和自己相处的需要。如果一定要拖延的话,我们希望可以帮助你节约一点入睡前辗转反侧的时间,并拥有高质量的睡眠。
首先,你需要一个黑暗的睡眠环境。黑暗环境可以促进松果体分泌褪黑素。而褪黑素正是控制我们身体内部睡眠节律的关键激素[5]。当人体内褪黑素水平提高的时候,身体就会觉得“啊!已经到点了,我该睡觉了!”

除了黑暗之外,一个合适的温度也可以帮助你拥有高质量的睡眠。炎炎夏日,你可能会在教室里疯狂打瞌睡,这似乎说明高温更有助于睡眠。但是,事实其实是相反的。这最多让我们产生困意,跟睡眠质量其实没什么关系。我们上床睡觉时,身体会与我们亲爱的床进行热量的交换,直到达到一种平衡的状态,你可以想象在冬天,你钻进冰冷的被窝,然后慢慢用身体暖热它的那种感觉。
作为恒温动物,我们非常擅长体温调节。高温的环境会让我们通过出汗等方式把多余的热量带走。当我们睡觉的时候,我们的体温调节机制也会想休息一会。高温的环境则会使大脑做出反应,让我们快点进行体温调节,这就会降低我们的睡眠质量[6]。
有实验显示,当环境温度在26摄氏度时,人们不但更容易入睡,睡眠质量也是最高的。把卧室温度调整在26度左右,不但可以让你省点电,还可以促进你的睡眠,一举两得[7]。
如果你晚睡了,那也不必太过焦虑,网上传言睡够8小时才行,但这个时间并非铁律,根据美国睡眠基金会给出的建议,成年人的睡眠时间在6-10小时都是正常的,并不是睡得越久,睡得越香[8]。
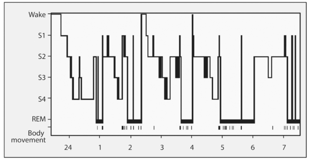
相对于8小时的睡眠,睡够睡眠周期可能对我们来说更加重要。虽然表面上看起来眼睛一睁一闭一晚上就过去了,但其实我们经历了多个睡眠周期。

图注:一个睡眠周期通常包括包括浅睡眠阶段(S1),深度睡眠阶段(S2-S4),快速眼动阶段(REM)三部分(Troynikov et al., 2018)
从入睡开始,我们先进入浅睡眠阶段,这个阶段我们的身体慢慢放松下来,感知外部的刺激的能力比清醒时有了大幅度的下降。之后,我们进入深度睡眠阶段,这个阶段我们的基础代谢会降低,眼睛不会活动,感知外部刺激的能力进一步下降。
我们平时经常说的睡熟了的阶段,就是深度睡眠阶段。第三个阶段是快速眼动阶段,这一时期我们的眼球会快速的转动,梦境的产生就是在这一阶段。
从浅睡眠阶段到深度睡眠阶段,再到快速眼动阶段就是一个完整的睡眠周期,整个周期的时间大概在一个半小时左右。如果我们打破了睡眠周期,在深度睡眠阶段醒过来,睡眠质量就会大打折扣。
所以,尽量以一个半小时为单位去睡觉,比如6小时、7个半小时,睡得晚没关系,睡够了睡眠周期就行。说不定你就会发现,虽然你睡得时间不长,但你仍然精神抖擞。

最后,祝愿大家每天都可以睡个好觉。毕竟,这可能是打工人唯一不需要随时回消息的时刻了。
【参考文献】
[1]中国睡眠研究会(2020).2020全民宅家期间中国居民睡眠白皮书
[2]Kroese, F. M., De Ridder, D. T. D., Evers, C., & Adriaanse, M. A. (2014). Bedtime procrastination: Introducing a new area of procrastination. Frontiers in Psychology, 5.
[3]Nauts, S., Bart A. Kamphorst, Andreea E.Sutu, Rune Poortvliet, Joel H. Anderson(2016). Aversive bedtime routinesasa precursor to bedtimeprocrastination. The European Health Psychologist, 18 (2).
[4]Kamphorst, B. A., Nauts, S., De Ridder, D. T. D., & Anderson, J. H. (2018). Too Depleted to Turn In: The Relevance of End-of-the-Day Resource Depletion for Reducing Bedtime Procrastination. Frontiers in Psychology, 9, 252
[5]Delagrange, P., & Guardiola-Lemaitre, B. (1997). Melatonin, Its Receptors, and Relationships with Biological Rhythm Disorders: Clinical Neuropharmacology, 20(6), 482–510.
[6]何塞, 哈, 拉斐尔, 海, 王宇, & 宗徐淳. (2020). 我想睡个好觉 改善睡眠的科学指南. 中国友谊出版公司.
[7]Lan, L., Pan, L., Lian, Z., Huang, H., & Lin, Y. (2014). Experimental study on thermal comfort of sleeping people at different air temperatures. Building and Environment, 73, 24–31.
[8]Hirshkowitz, M., Whiton, K., Albert, S. M., Alessi, C., Bruni, O., DonCarlos, L., Hazen, N., Herman, J., Katz, E. S., Kheirandish-Gozal, L., Neubauer, D. N., O’Donnell, A. E., Ohayon, M., Peever, J., Rawding, R., Sachdeva, R. C., Setters, B., Vitiello, M. V., Ware, J. C., & Adams Hillard, P. J. (2015). National Sleep Foundation’s sleep time duration recommendations: Methodology and results summary. Sleep Health, 1(1), 40–43.
[9]Troynikov, O., Watson, C. G., & Nawaz, N. (2018). Sleep environments and sleep physiology: A review. Journal of Thermal Biology, 78, 192–203.
声明:本站内容与配图部分转载于网络,我们不做任何商业用途,由于部分内容无法与原作者取得联系,如有侵权请联系我们删除,联系方式请点击【侵权删稿】。
求助问答
最新测试
8337592 人想测
立即测试
3039073 人想测
立即测试
3029084 人想测
立即测试
3017970 人想测
立即测试
3042027 人想测
立即测试